Trace: • standart_deviation
Standart_deviation
This is an old revision of the document!
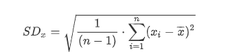
Если n - это количество элементов, x(i) - массив элементов, а x(штрих) - среднее значение, то стандартное отклонение считается так:
Маленькое стандартное отклонение означает, что значениям свойственно групироватся вокруг среднего в то время как большое отклонение говорит о том, что значения более распределены.
